Natural toxic substances (1. LF UK, NT)
Natural anti-nutritional and toxic substances[edit | edit source]
Natural anti-nutritional and toxic substances include:
- antinutritional substances – interference (nutrients),
- toxic substances - poisons (toxics),
- natural toxic substances - toxins,
- products of anthropogenic activity – xenobiotics.
The toxic effects of these substances can be acute or late (e.g. chronic).
Amount of risk:
- contaminants,
- toxins,
- additive substances,
- antinutritional substances.
Their content in food is subject to legislative measures.
Feeding trials → NOAEL → ADI = NOAEL / 100, (mg/kg), safety factor (100)
- MLR = ADI * 60, (NPM, PM, SM), food basket, taking into account the amount of consumption
Antinutritional substances[edit | edit source]
Antinutritional substances are substances of plant origin that cause potential risks. Is part of them:
- enzyme inhibitors, antienzymes,
- compounds interfering with vitamin metabolism, antivitamins, vitamin antagonists,
- compounds interfering with the metabolism of mineral substances,
- phenolic compounds (tannins) reacting with proteins,
- some oligosaccharides causing flatulence.
1. Inhibitors of serine proteases (trypsin, chymotrypsin, elastase):
- lead to a slowdown in the growth of farm animals,
- heat inactivation occurs (they are proteins).
2. Antivitamins:
- structural analogues (oxythiamine, linatin),
- enzymes (ascorbase, thiaminase, lipoxygenase),
- forming unusable complexes (avidin).
3. Compounds binding mineral substances:
4. Tannins:
- slowing down the growth of farm animals,
- reduction of digestibility of proteins and absorption of mineral substances.
5. α-galactosides:
- raffinose, higher homologues,
- cause gastrointestinal problems.
Toxic substances[edit | edit source]
- Toxic substances present real risks:
- causing food intolerance ( intolerance ), toxic for certain individuals,
- causing intoxication , toxic for all individuals. Substances causing food intolerance:
- allergies (immunological reactions), allergens (immunogens), (do not) induce IgE formation,
- celiac disease, gluten-free diets (<100 mg/kg gliadin dry weight),
- intolerance (non-immunological manifestations), metabolic disorders, hypersensitivity (anaphylaxis), aversion (idiosyncrasy),
- lactose intolerance, foods with a low content (<10 g/kg), lactose-free (100 mg/kg),
- phenylketonuria, hydrolysates without Phe,
- favism, broad bean ( Vicia faba ).
Toxins and other substances causing intoxication[edit | edit source]
Classification:
- by structure,
- physical properties,
- by origin (plant, animal),
- by effects,
- main groups of toxins,
- alkaloids,
- saponins,
- cyanogens,
- glucosinolates,
- lectins,
- estrogenic substances,
- phototoxic substances,
- amino acids,
- biogenic amines.
Antinutritional and toxic substances of legumes:
- protease and amylase inhibitors,
- α-galactosides,
- substances causing favism,
- lectins,
- cyanogenic glycosides,
- estrogens,
- saponins,
- lathyrogens.
Toxic substances of higher mushrooms:
- proteins,
- peptides,
- amino acids,
- amines,
- hydrazines,
- alkaloids,
- terpenoids.
Alkaloids[edit | edit source]
Classification:
- true alkaloids (N-heterocycles, derived from amino acids),
- pyridine (nicotine) and tobacco,
- piperidine and pepper,
- pyrrolizidines and senecias (necines),
- quinolizidine and. lupins,
- quinoline and cinchona bark,
- pseudoalkaloids (N-heterocycles, derived from other precursors),
- purine a. coffee, tea, cocoa,
- terpenoid (glycoalkaloids) a. potatoes, tomatoes,
- protoalkaloids (not N-heterocycles, derived from amino acids),
- capsaicinoids and peppers.
Pyridine alkaloids[edit | edit source]
Nicotine and minor alkaloids (~20 compounds):
- tobacco (obligation to indicate content in tobacco products, warnings)
Piperidine alkaloids[edit | edit source]
Piperine, homologs, geometric isomers, related substances, pepper (hot substances)
Pyrrolizidine alkaloids[edit | edit source]
Many related esters (mono-, di-, macrocyclic), hepatotoxic substances
Quinolizidine alkaloids[edit | edit source]
A number of related compounds, lupine
Quinoline alkaloids[edit | edit source]
Contents in pod.
Legislation: additive, alcoholic beverages 300 mg/l, non-alcoholic (tonics) 75 mg/l (teratogenicity)
Purine alkaloids[edit | edit source]
a number of related compounds, coffee, tea, cocoa (chocolate), mate, guarana.
- caffeine R 1 = R 2 = R 3 = CH 3
- theobromine R 1 = H, R 2 = R 3 = CH 3
- theophylline R 1 = R 2 = CH 3 , R 3 = H
Steroidal glycoalkaloids[edit | edit source]
- a number of related compounds, potatoes, tomatoes, eggplant,
- heteroglycosides, aglycone, sugar.
Potatoes[edit | edit source]
- α-solanine = solanidine + β-solatriose,
- α-chaconine = solanidine + β-chacotriose,
- distribution,
- legislation: 200 mg/kg.
Tomatoes[edit | edit source]
- tomatine = tomatidine + β-lycotetraose
- legislation: 200 mg/kg, teratogenicity
Capsaicinoids[edit | edit source]
capsaicin, homologues, paprika (hot substances):
- the effect of technological processing,
- capsaicin, (E)-8-methyl-N-vanillylnon-6-enamide .
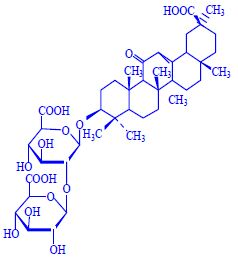
Saponins[edit | edit source]
a number of related compounds, foods of plant origin:
- heteroglycosides, aglycone, sugar,
- aglycon = sapogenin (sapogenol),
- triterpene alcohols,
- sterols (4-demethylsterols).
Biological effects:
- hemolysis of erythrocytes, other cells, damage to the intestinal mucosa.
Properties
- toxicity to cold-blooded animals,
- bitter taste,
- detergent effects, emulsion (o/w),
- fungicidal, antioxidant, anticarcinogenic, anticholesterolemic effects.
Use
- foaming agents (cosmetics),
- emulsifiers (cosmetics),
- sweeteners (glycyrrhizin, licorice: 0.2−5.6% saponins).
Cyanogenic glycosides[edit | edit source]
- a number of related compounds, foods of plant origin,
- HCN content in cyanogens,
- heteroglycosides, aglycone, sugar,
- aglycone = 2-hydroxynitrile (cyanohydrin),
- 2-hydroxy acid nitrile.
Substituents - Chirality:
- aliphatic – acetone, methyl (ethyl) ketone,
- aromatic – benzaldehyde.
Sugar
- usually Glu,
- genciobiosis disaccharides etc.
Properties
- decomposition (β-glucosidase) → HCN, toxicity (inhibition of cytochrome oxidase in the respiratory chain),
- acute intoxication, chronic intoxication (cassava, cassava).
Glucosinolates[edit | edit source]
- thioglucosides (glucosides of mustard oils), a number of related compounds, foods of plant origin (cruciferous plants),
- names and structure,
- dominant glucosinolates in vegetables,
- heteroglycosides, aglycone, sugar, aglycone = thiohydroxamate-O-sulfonate, counterion K+
Substituents
- aliphatic,
- aromatic,
- heterocyclic.
Sugar
- exclusively Glc.
Properties
- decomposition (myrosinase) → isothiocyanates, nitriles, etc.,
- toxicity, isothiocyanates and goitrin strumogenic, nitriles hepatotoxic.
Plant phenols[edit | edit source]
Estrogenic substances[edit | edit source]
phytoestrogens - foods of plant origin,
- isoflavones,
- content in soybeans.
- daidzin, R = H aglycon daidzein
- genistin, R = OH aglycon genistein
- soybeans (0.13−0.42%)
- pterocarps,
- lignans.
- content in food
- coumestrol − sprouting − soybeans
- secoisolariciresinol − flax seeds
- mycoestrogens,
- xenoestrogens.
Properties
- simultaneously useful and harmful.
Phototoxic substances[edit | edit source]
- coumarins,
- furanocoumarins,
- foods of plant origin.
Properties
- phototoxicity (sensitivity of non-pigmented skin, association with skin cancer, acute dermatitis),
- phytoalexins (phytonicides, plant antibiotics, pesticides), blastocolins (inhibits seed germination),
- antimicrobial and other effects.
Phototoxic pigments[edit | edit source]
- hypericin (St. John's wort), fagopyrin (buckwheat).
Lectins (phytohemagglutinins)[edit | edit source]
- foods of plant origin (seeds and other parts)
Proteins with a non-catalytic center:
- merolectins (1 center, catalytic no),
- hololectins (2 centers, no catalytic),
- chimerolectins (1−2 centers, catalytic yes).
Soy lectin
- metalloprotein, 120 kDa, hololectin, N-acetyl-D-galactosamine binding.
Properties
- precipitation of erythrocytes, interaction with sugars in glycoproteins and glycolipids of membranes (plant protection mechanism against predators, parasites),
- toxic intravenously, some orally, some not at all, some probiotics (garlic).
Amino acids[edit | edit source]
Lathyrogens:
- foods of plant origin (seeds of vetiver and peas),
- amino acids (peptides, nitriles) -3-(N-oxalyl)-2,3-diaminopropanoic acid
Properties
- structural form with proteinogenic amino acids, metabolic disorders,
- deformation of the lower limbs (osteolathyrism), damage to blood vessels (angiolatyrism), disorders of the nervous system (neurolathyrism), humans, mainly farm animals.
Biogenic amines:
- precursors,
- aliphatic, aromatic, heterocyclic bases with biological activity, fermented and microbially degraded foods of plant and animal origin
Emergence
- from amino acids by microorganisms
- histamine (His) , cadaverine (Lys)
Properties
- tissue hormones (allergic reactions, anaphylactic shock)
- psychoactive and vasoactive substances
Content
- changes in salami
Links[edit | edit source]
Internal links[edit | edit source]
Source[edit | edit source]
- DAVÍDEK, Jiří. 12. PŘÍRODNÍ ANTINUTRIČNÍ A TOXICKÉ LÁTKY [online]. [cit. 2012-03-13]. <https://el.lf1.cuni.cz/p30693038/>.














